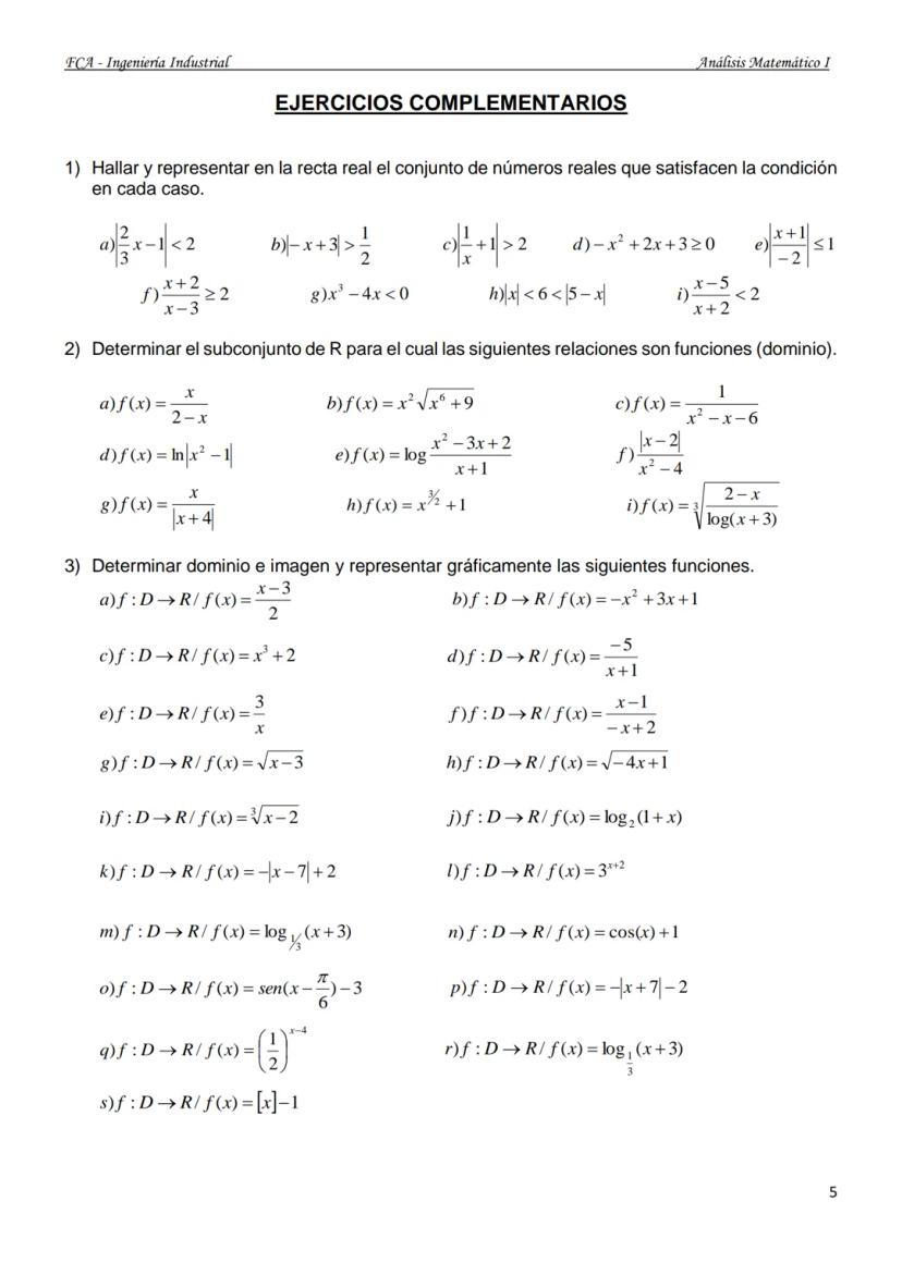
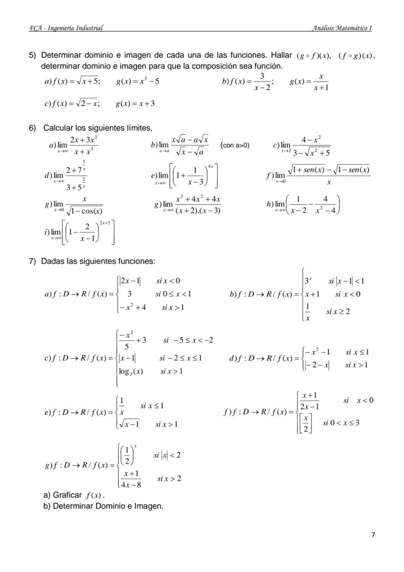
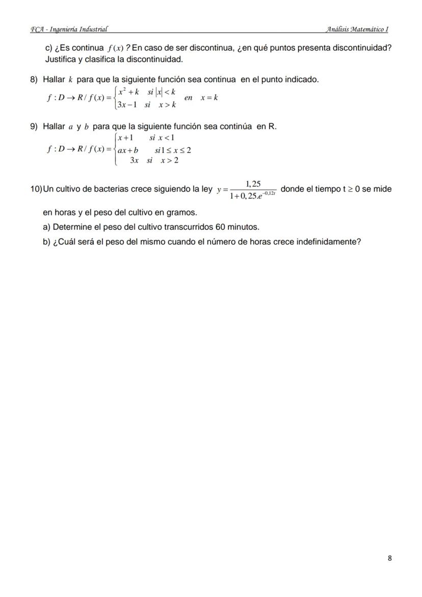
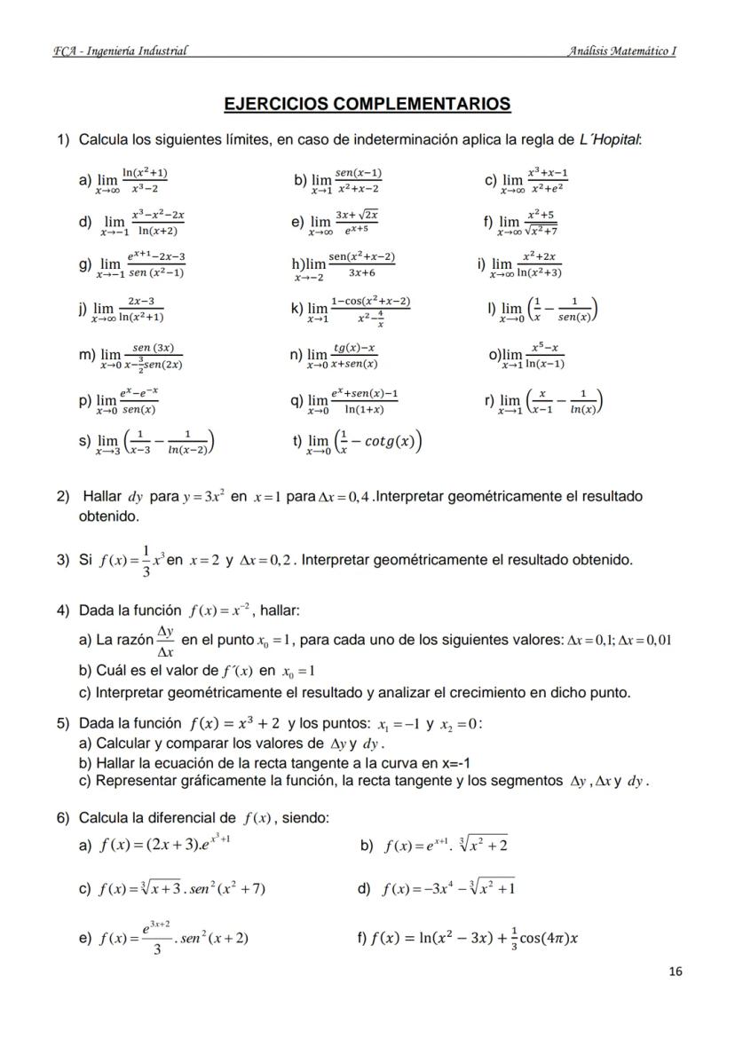
Guía de trabajos prácticos para resolver. Problemas de Dominio e imagen/rango, tipos de funciones, gráficas, límites y continuidad, derivadas.
Inscríbete para ver los apuntes¡Es gratis!
Acceso a todos los documentos
Mejora tus notas
Únete a millones de estudiantes
Al registrarte aceptas las Condiciones del servicio y la Política de privacidad.


























































